Eine häufige Fragestellung bei Wassersportlern bezieht sich auf die Entfernung zum Horizont. Oft wird auch die Frage gestellt, aus welcher Entfernung ein hinter dem Horizont fahrendes Schiff gerade noch zu sehen ist. Wir ahnen bereits, dass diese Entfernung davon abhängen wird, welche Höhe das Schiff hat und wie weit sich der Beobachter oberhalb der Meeresoberfläche befindet. Mit Hilfe einfacher mathematischer Betrachtungen, wobei wir nicht mehr als den Satz des Pythagoras bemühen müssen, lässt sich diese Frage rechnerisch beantworten. Zunächst machen wir uns eine kleine Skizze:
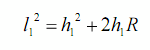
Diese zeigt den kreisförmigen Querschnitt der Erde mit dem Radius R und dem Mittelpunkt M. Wir legen an diesen Kreis eine Tangente durch den Punkt H. Links auf dieser Gerade liegt der Punkt P1 in einer Entfernung l1 von H und einer Höhe h1 oberhalb der Meeresoberfläche. Dieser Punkt P1 sei das Schiff mit einer Höhe h1. Rechts von H liegt der Punkt P2 in einer Entfernung l2 von H und einer Höhe h2. Dieser Punkt P2 sei die Position des Beobachters. Für das Dreieck aus M, P1, H ergibt sich nach dem Satz des Pythagoras die folgende Beziehung:
Durch Ausmultiplizieren (binomische Formel), erhalten wir auf der rechten Seite der Gleichung:
Wenn wir auf beiden Seiten der Gleichung den Term R2 subtrahieren, so verbleibt:
Ziehen wir nun auf beiden Seiten der Gleichung die Wurzel, so ergibt sich die Bestimmungsgleichung für die Entfernung vom Horizont l1:
Für die gesamte Strecke l von P1 nach P2 ergibt sich damit:
Die Strecke l entspricht also der maximalen Sichtentfernung eines Schiffes mit der Höhe h1 und einer Höhe h2 des Beobachters oberhalb der Meeresoberfläche. Aus Symmetriegründen lassen sich selbstverständich auch die Rollen von Schiff und Beobachter vertauschen. Das Eingabeformular berechnet nach der oben angegebenen Formel diese drei Entfernungen l1, l2 und l. Dabei muss man natürlich noch den Wert für den Radius der Erde kennen. Dieser Wert beträgt ungefähr 6370 km. Das nachfolgende Formular (Java-Applet) berechnet diese Werte.
Aufgrund des Druckgradienten der Atmosphäre werden Lichtstrahlen, die annähernd parallel zur Erdoberfläche verlaufen, ein wenig gekrümmt. Diese Effekt hat zur Folge, dass der Horizont tatsächlich weiter entfernt erscheint, als die rein geometrische Berechnung ergibt. Um dennoch mit der oben abgeleiteten Formel arbeiten zu können, wird zur Kompensation des Brechungseffektes einfach ein virtuell vergrößerter Erdradius angenommen. Dieser beträgt für Licht (Wellenlänge ca. 250 und 700 Nanometer) ca. 7680 km. Für Funkwellen wirkt sich nebem dem Brechnungseffekt auch noch die Beugung an der Erdoberfläche aus. Diese Beugung steigt mit wachsender Wellenlänge der Funksignale. Für UKW-Funk (Wellenlänge 2 m) ergibt sich ein scheinbarer Erdradius von ca. 8470 km. Diese unterschiedlichen virtuellen Erdradien können nachfolgend definiert werden. Die oben stehenden Berechnungswerte werden automatisch entsprechend geändert.
| Geometrischer Erdradius | |
| Scheinbarer Erdradius für Licht | |
| Scheinbarer Erdradius für UKW-Funk (Wellenlänge 2 m) |